1. ホーム
  2.  > 連載コラム
  3.  > 第332回 篠崎 渡 (2026.1.05)

バイオリンの大きさを分数で表すのはなぜ?

第332回 篠崎 渡 (2026.1.05)

新年明けましておめでとうございます。
2026年は丙午(ひのえうま)とあって火の象徴が重なり活発すぎるエネルギーの暴発が懸念される年ではありますが、今世界で起きている騒乱が収束に向かい平和になるのをまず祈りたいと思います。


先日、同業の友人たちと話していた時にバイオリンやビオラの大きさについて話題になりました。なんで大きさを分数で呼ぶ?実際の大きさとの関係は?その根拠は?という疑問がでて各人が諸説論じることになりました。その時私がした説明に各人から腑に落ちたという感想を頂きましたので “燃える年”の始めに地味な話題ですがバイオリンの大きさとサイズ表記について書きたいと思います。

バイオリンの大きさ、サイズとは?


まず、バイオリンの大きさとは「本体(響胴)の長さ」を指します。
具体的には、表板、または裏板のネック取り付け部側の上端からエンドピン側の下端までの長さです。
渦巻きのてっぺんからネックを含んだ長さではありません。

弦を張って駒や顎当てテールピースがついている状態では表板側で測りづらいので、
技術者現場では裏板側のボタン脇から下端までリボンメジャーを使って“膨らみの上の長さ”を測定します。
ですので、同じ距離を直線で測定した場合とは膨らみの程度によって1〜2mmくらい違いが出てきます。このような長さの測定は厳密ではないですが弦楽器技術者の間ではこれくらいの誤差があっても十分と認識しています。

サイズは大きさに合わせて分類し「分数」で表わされています。
具体的には4/4(フルサイズ)を元に3/4、1/2、1/4、1/8、1/10、1/16などと呼んでいます。

しかし4/4サイズの本体の長さを基準に各サイズが示す分数を掛け算したものが各サイズの長さになると思いきやそうはならないのです。これにはなぜ?と感じている人も多いと思います。

ずいぶん前に弦楽器製作家の園田信博さんがサイズを表す分数と実際の大きさを綿密に測定、計量して調べていらっしゃいました。
かつて刊行されていた「ストリングス」という雑誌の1993年8月号で「分数ヴァイオリンは、フルサイズに対する、その響胴の容積の比の二乗に正比例する。」という見解を述べています。
その頃私は大学のオーケストラに入部しビオラを始めたばかりでこの記事を読んで、なるほど!と思ったものです。理工系の学生だったのでこのような計算は説得力あるように感じました。

当時は分数バイオリンというものを実際に見たり触ったりする機会がなく、その数字はそういうものかと思っていたのですが、自分が弦楽器製作を始めて現場で実際に「小さい弦楽器」に触れてみてぞれぞれの分数サイズでも個体や論じている人・資料によってもずいぶん違いが大きいなぁ、と思っていました。
また、経験を重ねていくうちに園田氏の考察のように容積と長さを考慮してサイズ表記ができたとは考えづらくなり、結果的にそのような計算式と一致する何か別の理由や法則があるのではないか、と考えるようになりました。

バイオリンの寸法についての資料は上記で園田氏が実測したSUZUKIバイオリンの寸法・体積のほかに、例えば、イタリア(クレモナ)でモラッシー氏を中心としたグループが作った弦楽器寸法表(IL VIOLINO E I SUOI FORMATI、1980年)、アメリカのH. ストローベル氏の書籍(USEFUL MEASUREMENTS FOR VIOLIN MAKERS、1984年初版、1999年第5版)に記されている寸法表が私の手元にあります。これらの資料の中には基準にするフルサイズ(4/4)バイオリンの大きさ、それぞれのサイズの寸法を数式で割り出す方法、参考にされた寸法の出典など記載されているのですが、真面目に数字の定義や歴史を理解しようとするとすべて辻褄の合うような理解は難しく、頭を掻くことになりました。

そこで20年の間に私がいろいろなサイズのバイオリンや資料に触れてみて、そしてこれまで得た知見より、私の考えるバイオリンの大きさとサイズ表記(表記される分数)の関連をシンプルに説明したいと思います。

バイオリンは1インチずつスケールダウンする

結論から言うと、バイオリン4/4の本体の長さは14インチで、これを基準に本体のサイズが「1段階」(つまり、分数表記の大きさが1段階)下がると1インチ(=25.4mm)ずつ小さくなる、というのがベーシックになっていると思います。具体的にはこうです。

4/4バイオリン 14インチx25.4mm =355.6mm
3/4バイオリン 13インチx25.4mm =330.2mm
1/2バイオリン 12インチx25.4mm =304.8mm
1/4バイオリン 11インチx25.4mm =279.4mm
1/8バイオリン 10インチx25.4mm =254.0mm
1/16バイオリン 9インチx25.4mm =228.6mm
1/32バイオリン 8インチx25.4mm =203.6mm

そしてこれには、例外サイズ(1/10)が加えられたり、機能的な面を考慮して変更された寸法(ちょっと大きくとか小さくとか)がメーカーや地域によってアレンジされて存在している、と思われます。

アメリカのH. ストローベル氏は「USEFUL MEASUREMENTS FOR VIOLIN MAKERS」の初版(1984年)で彼の工房で用いている≪伝統的なサイズ≫として以下のように記載しています。これは上に説明した数字とよく一致しています。

しかしながら、彼はその後の版(1988年の第2版?)で、現代の楽器では、として以下の表を新しく追記しています。

いずれの場合も絶対にこうあるべきという記載はされていません。
これらはあくまでも“ベーシックな”数字としてで「どのサイズにも大きさに幅がある」ことを弦楽器技術者、並びに教師、プレーヤーに認識するようにとあります。
いずれにしてもおよそ1インチがサイズ感を設定する目安なのは西洋式なポンド・ヤード法度量衡の習慣に由来するものと思います。

余談になりますが、長さの単位インチは「足の親指の幅」を由来にする身体ゲージのひとつで、イタリア語ではその意味のままPolice(親指)と呼ばれています。
自分の足の親指の幅を測ったら偶然ですが25.4mmでした!
私の住む埼玉県西部の生活者にとってはインチをメートルに換算するのは埼玉県を南北に縦断する国道254号線(川越街道)と合わせて覚えやすい数字で県民なら誰でも暗唱できます。

サイズの分数表記は音符と同じ2進数、ただし負の累乗

次にサイズの分数表記についてです。これは長さとの関連と分けて考えられるべき数字と思います。

では大きさの段階になぜこのような分数表記をするのかというと、直感的には音符の音価を考えると理解しやすいです。
つまり、1小節4拍としてその場合4分音符が基準単位で4つ続いて4×(1/4)で全音符分(4/4)になるのと同じく、14インチのフルサイズが全音符に相当し4つにサイズの段階を分けて最初の4サイズが構成されます。
そして、音符と同様にその一回り下のサイズは1/8でさらに一回り小さいものは1/16、1/32となります。これがバイオリンのサイズ表記のベーシックで音符の音価表記に合わせて大きさの段階を示したものと思います。

ミリメートルやインチの単位で直接寸法を言われてもサイズ感をイメージできないですよね?このようにして音楽家が直感的に理解しやすいように音の長さと同じような分数表記を適用することになったのではないかと思います。衣服のサイズのようにXS、S、M、L、XLとか示す方法もあったかもしれませんが・・・


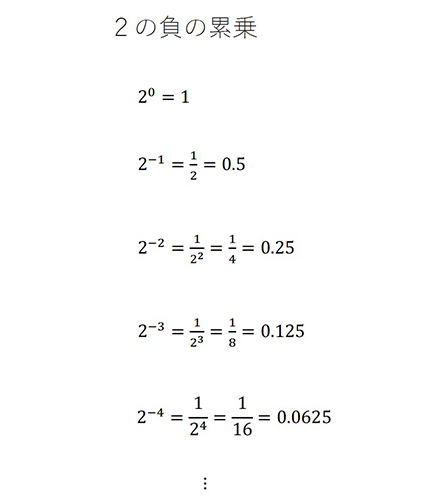
ポンド・ヤード法の表記では基準単位より小さい数字(小数)を表す時、単位を2で割っていきながら小さくしてその組み合わせで小数を表現していきます。
つまりこれは2進数の発想で、数学的に述べると2の負の累乗で単位長を分割しその組み合わせで小数を表現すると言い換えられます。私たちがよく使う直尺の裏には1/(2のn乗)で表記されるインチとミリメートルの換算表が記載されています。

バイオリンのサイズ表記で7/8とか5/8というものをたまに見かけます。
これはそれぞれ「4/4と3/4の中間」、「3/4と1/2の中間」という意味です。
足して2で割るとこの数字になります。
ちょっと大きい1/2サイズを「1/2L」などと表記している場合もありますが、ポンド・ヤード法の表現としては5/8のほうがしっくりしています。

私たちは普段計算しやすい10進数を使っていて、位上がりも位下がりも数字は10ずつで桁がかわることに慣れています。
しかし音楽の世界では2ずつに桁が変わるアイデアが実践されていてIT技術者でなくとも日ごろ2進数に親しんでいるといえます。

余談ですが、あなたは片手で指を折っていくつまで数えられますか?10進数的数え方では5までしか数えられませんが、2進数的になら32まで数えられます(両手使えば1024まで!)。長い休みの小節を数えるのに便利です。

さて、ここでひとつ疑問が残ります。
では1/10サイズはどういう法則でできた寸法でしょうか?

1/10は例外、日本人が考えた

1/10というサイズ表記はSUZUKIバイオリンが取り入れたサイズ表記です。
これはストローベル氏の書籍にも記述があります。上で述べたように中間のサイズを1/8と1/16の間に作ろうとすると3/32とかになってイメージしづらいですよね。
そこで西洋的ポンド・ヤード法のルールを無視して東洋的に10進数で表す新しいサイズ表記を創ったというわけです。いささか無教養感を感じますが、ヨーロッパはメートル法表記がすでに一般で、21世紀において弦楽器製造の量的中心はヨーロッパではなく、中国になってしまったので1/10という表記は多くの人は違和感なくなっていると思います。

SUZUKIの1/10バイオリンの大きさはこのサイズを用意していない他のメーカーでは1/16サイズに相当し、SUZUKIの1/16は1/32サイズに相当している、とストローベル氏の書籍に記載があることを補足しておきます。

まとめ

以上がバイオリンの大きさとサイズ表記の関連についての考察です。
サイズ表記についてはチェロもバイオリンと同様です。本体の大きさについてはおよそ2インチずつスケールダウンしているようにも思いますが、実際は各メーカーが弦長や大きさ感を考慮してアレンジした寸法になっているように思えます。
チェロについては名前の由来や大きさ遷移の歴史も複雑な状況があるのでまた別に機会があったら論じたいと思います。
ビオラはインチ表記が現在でもそのままサイズ表記で通用しています。
概ね15インチ1/2(394mm)〜16インチ1/2(419mm)の間の本体サイズが多いのでインチ表記でサイズ感をイメージしやすいと思います。

音楽の拍子や楽器のサイズ、振動や調和比率といったものの中に数学的な美しい理論や発想が隠されています。このようなアイデアは音楽の隠れた通奏低音であり西洋音楽の理解を深めることになるのではないかと思います。

参考資料
ストリングス誌1993年8月号園田さんの楽器探偵団
2の累乗計算式